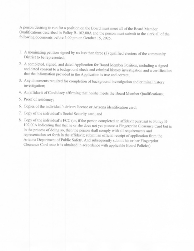
Gila Crossing Families,
If you are interested in applying for the Board of Trustees, please contact Karen McQueen. Thank you.



October 2, 2025
Gila Crossing Families,
If you are interested in applying for the Board of Trustees, please contact Karen McQueen. Thank you.

